
旋進旋渦流量計測量原理與計算公式
旋進旋渦氣體流量計的測量原理,流體進入流量計時,先被起旋器導流后發生螺旋流動,在收縮段,由導流葉片提供的角動能被保存,并使角速度增加形成如圖所示的螺旋流,檢出元件處的螺旋流頻率與流體流量成正比。然后,流體進入擴散段,并圍繞軸向的返流,最后經消旋器消除旋渦并流出。可以看到,由于起旋器引入的角速度,使流體經起旋器后的流速從u增加到uA,中心旋渦速度UTI,管壁為UT2。在擴散段,出現返流,流體從管軸中心返流到管壁,流速下降到零,而壓力p2增大到最大。

受周圍約束,旋流通過截面積擴大的管段時,產生旋渦旋進流動,即旋渦中心軸作進動,進動頻率與流體流速成正比。因此根據進動頻率確定流體流量。
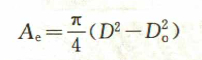
返流的流體需再轉換為向前的流動,從而使流量通過的流通面積減小。流通有效面積Ae是測量面噴嘴直徑D與返流無效面直徑D。的函數,即:

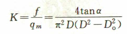
測量面角速度為w=2πf=utana/R。式中,u是測量面軸向流體流速;a是旋渦發生體的葉片夾角;R是測量面噴嘴半徑,R=D/2;f是頻率;w是角速度。因此,儀表系數K可表示為:

可見,旋進旋渦氣體流量計儀表系數與葉片夾角a的正切成正比,與有效流通面積Ae和測量面噴嘴直徑D成反比。隨流體流量變化,有效流通面積變化,因此,一定測量范圍內儀表系數可穩定在某值。
對液體流體,其測量范圍從0.2~2m3/h,直到180-1800m3/h.對氣體流體,其測量范圍從5~25m3/h,直到1000~20000m3/h。液體的測量范圍度約為30:1,氣體的測量范圍度在5:1到20:1。
液體流體測量的頻率范圍從100Hz(DN20)到13Hz(DN400);氣體流體測量的頻率范圍從1200Hz(DN20)到150Hz(DN400)。儀表精度±0.5%。液體流體流速最大6m/s,氣體流體流速可達50m/s。
對液體流量測量,應防止產生氣穴(空化)。最大流量時,流量計下游最低工作壓力計算如下:
p=(2.6-2.7)△p+1.3p。
式中,△p是壓力損失,KPa;p。是工作溫度下被測液體絕對飽和蒸汽壓,kPa。
三、結構
流量計由傳感器和轉換顯示儀組成。
1、傳感器包括旋渦發生器、檢測元件、整流器和殼體。
旋渦發生器由特定螺旋形葉片組成,它固定在殼體收縮段前端,強迫流體產生強烈的旋渦流。
檢測元件安裝在靠近擴張管的喉部,用熱敏、壓電、應變、電容或光纖等檢測元件可測出旋渦進動的頻率信號。
整流器固定在流量計表體出口,其作用是消除旋渦流,以減小下游流態對儀表測量的影響。
殼體設計成一定形狀的流道,使旋渦形成,固定和保護安裝在內部的零部件,并通過法蘭與管道相連接。
2、轉換顯示儀
由壓電傳感器檢測到的微弱電壓信號經過放大、濾波、整形后,變成頻率與流量成正比的脈沖信號,然后由顯示儀計數顯示。顯示儀配有外輸接口,輸出各種信號。對測量的氣體介質可進行溫度和壓力的補償,轉換為標準狀況下的體積流量,并顯示。
上一篇:蒸汽流量計密度補償計算公式
下一篇:渦街流量計的用途與計算公式
版權所有 Copyright(©)2009-2011 江蘇力科儀表有限公司
電話號碼:0517-86909222 商務熱線:15305232668 傳真:0517-86909221
地址:江蘇省金湖縣工業園
技術支持:易品網站建設專家 蘇ICP備13047422號-2