
摘 要:在用孔板流量計測量和計算瓦斯抽采量的過程中,發現孔板流量計計算公式繁多;系數數值各不相同;測量和計算出的流量不準確;有些公式沒有標明所算出的流量是工況狀態下的量還是標準狀態下的量,等等許多問題。為此,通過對孔板流量計結構、測量原理、公式來源的分析,找到合理準確的公式,澄清工作中遇到的問題,便于實際應用。
關鍵字:孔板流量計 原理 計算公式 瓦斯抽采量
孔板流量計是一種測量管道流體流量的裝置,因其具有結構簡單,維修方便,性能穩定,使用可靠,適應惡劣環境等特點,廣泛應用于煤礦瓦斯抽采氣體流量測量。然而在實際應用過程中常常會遇到:測量數據是否準確?孔板流量計測出的量是工況量、標準狀態下的量、還是常溫狀態下的量?計算公式種類很多,應該用哪一個?所用的公式是否正確?等等問題。因此,對孔板流量計測量原理、結構、公式來源進行分析,找到正確的公式,然后對實際應用過程中常見的問題進行分析解釋。
1 孔板流量計結構及測定原理
1.1 結構
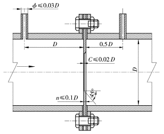
在管道里插入1個與管軸垂直的金屬板,金屬板中心為1個圓孔,孔的中心位于管道的中心線上,孔板稱為節流元件。在孔板進氣側距離孔板1個管道直徑的位置,安裝1個測壓管;在孔板出氣側距離孔板半個直徑的位置,安裝1個測壓管。通過測壓管測出管道內氣體的2個壓力,2個壓力之差代入公式就可以計算出流量。如圖1。

圖1 孔板流量計結構
1.2 流體在孔板前后的流動過程
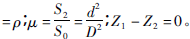
流體在孔板前后的流動過程,如圖2。

圖2 流體流經孔板時的壓力和流速變化情況
流體在管道截面I-I以前,以一定的速度流動,管內靜壓力為p1。由于節流元件的孔徑小于管道內徑,當流體流經節流元件時,流體截面突然收縮,流速加快,靜壓降低。當流體流過圓孔以后,由于慣性作用,流體截面繼續收縮一定距離,到流體截面最小處,流體截面最小處(圖2中Ⅱ-Ⅱ)稱為縮脈,流體在縮脈處的流速最高,動能最大,靜壓最低。流體流過縮脈后,流體截面開始逐漸擴大,到管道截面Ⅲ-Ⅲ處,流體截面恢復到整個管道截面。
1.3 孔板流量計測量原理
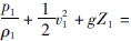
根據伯努利原理:流體在等高流動時,流速大,靜壓就小。數學表達式為:
。那么,流體從低速變為高速后,靜壓也會從高壓p高變為低壓p低,高壓p高與低壓p低之差△p(△p=p高-p低)的大小與流量有關,流量越大,△p也越大。因此,我們可以通過測量△p,推算出流量。
2 孔板流量計公式來源
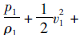
根據單位質量能量守恒方程有:
(1)
流動連續性方程:
(2)
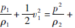
式中:p1、p2分別為截面Ⅰ-Ⅰ和截面Ⅱ-Ⅱ處的絕對壓力,Pa;υ1、υ2分別為截面Ⅰ-Ⅰ和截面Ⅱ-Ⅱ處的平均流速,m/s;ρ1、ρ2分別為截面Ⅰ-Ⅰ和截面Ⅱ-Ⅱ處流體的密度,kg/m3;S1為管道的截面積,m2;S2為流體收縮到最小處的截面積,m2;S0為孔板中心圓孔面積,m2;g為重力加速度,m/s2。
對于不可壓縮流體,ρ1=ρ2=C(常數)。對于可壓縮流體,暫設ρ為常數,推導出流量方程后,再引入膨脹系數。因此,由式(1)可得:


所以:

流體通過截面Ⅱ-Ⅱ的流量為:

式中:a為孔板結構特性系數,
為流速收縮系數,
m為孔板中心圓孔面積與管道面積之比,
d為孔板中心圓孔直徑,m;D為管道直徑,m;Q為流量,m3/s。
則:
對于可壓縮氣體,因p2<p1,所以ρ2<ρ1,引入膨脹系數,方程式為:
。由于壓力對密度影響很小,ρ2與ρ1近似相等。所以對于可壓縮流體,膨脹系數ε可以省略。
又:
所以:
又因:
式中:p0、V0、T0、ρ0、M0為標準狀態下氣體的壓力、體積、溫度、密度和質量;p、V、T、ρ、M為工況狀態下氣體的壓力、體積、溫度、密度和質量。

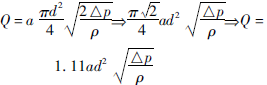
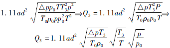
所以工況狀態下氣體的體積流量計算公式為:
(3)
設:p3、Q3、T3為常溫狀態(一個標準大氣壓,20℃)下的壓力、體積、溫度;則:p3=p0=101325Pa;T3=273+20=293K。

所以:


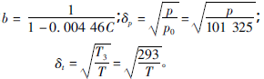
又因:ρ0=(1-0.00446C)×1.293

設:
所以:

設:k=60.677ad2,則:
(4)
上述各式中:Q為常溫狀態下管道內氣體體積流量,m3/min;△p為孔板流量計測出的壓差,Pa;C為瓦斯濃度;p為管道內氣體的絕對壓力,Pa;T為管道內氣體的絕對溫度,K;k為實際孔板流量特性系數;a為孔板結構特性系數,可查《采礦工程設計手冊》中表8-7-69得到;d為孔板中心圓孔直徑,m;b為瓦斯濃度校正系數;δp為壓力校正系數;δt為溫度校正系數。
3 常見問題分析
3.1 測壓點位置選擇不合理
實際應用中和許多書籍中,孔板流量計測壓點的位置選擇在管道截面Ⅰ-Ⅰ和Ⅱ-Ⅱ處,這是不正確的,應選在截面Ⅱ-Ⅱ和Ⅲ-Ⅲ處。理由如下:
從上述公式推導過程可知,孔板流量計計算公式的理論基礎是伯努利原理、能量守衡定律、質量守衡定律(運動連續性方程)。流體在管道截面Ⅰ-Ⅰ以前,以一定的速度υ1流動,管內靜壓力為p1。在接近孔板時,由于遇到節流元件孔板的阻擋,靠近管壁處流體的有效流速降低,一部分動壓能轉換成靜壓能,靜壓迅速升高至p'1,大于管道中心處的壓力,從而在孔板入口端面處產生徑向壓差,使流體產生收縮運動。流體在孔板前后突然縮小和擴大,產生局部渦流損耗和摩擦阻力損失,這使得流體流過孔板后,靜壓不能回復到原來的數值,即孔板前后有靜壓損失,實際應用證明,瓦斯抽采管路中安裝孔板流量計后,會造成很大的瓦斯抽采阻力,
所以選用孔板前后截面Ⅰ-Ⅰ和Ⅱ-Ⅱ上的各參數,用來推導孔板流量計計算公式是不正確的,它不符合能量守衡定律。
從上述分析可知,選截面Ⅱ-Ⅱ和Ⅲ-Ⅲ處的各參數,用來推導孔板流量計計算公式,是正確的。因為,截面Ⅱ-Ⅱ和Ⅲ-Ⅲ在節流元件的同一側,流體從截面Ⅱ-Ⅱ流到截面Ⅲ-Ⅲ,基本沒有能量損失,其機械能符合能量守衡定律,完全符合伯努利原理和質量守衡定律。
3.2 式(3)作為最終公式進行使用
氣體在管道內流動時,管內各截面的壓力、體積、溫度和密度有一定的對應關系,即:
。但在數學推導過程中,由公式
變為
(ρ1Z1-ρ2Z2)=0,進而再變為
后,△p已經與Q失去了對應關系,也就是說,通過△p已經不通確定Q是工況狀態下的流量還是標準狀態下的流量。ρ是工況狀態下管道內混合氣體的密度,也是唯一1個確定Q狀態特性的參數,所以在ρ沒有求出之前,式(3)不能做為最終公式進行使用。
3.3 把ρ0=(1-0.00446C)×1.293當做ρ
在實際應用中,常會把ρ0=(1-0.00446C)×1.293當做ρ,代入式(3)進行計算,這是不正確的。ρ0=(1-0.00446C)×1.293是標準狀態(1個標準大氣壓,0℃)下混合氣體的密度,ρ為工況狀態下混合氣體的密度,不能混淆。
3.4 在很多計算公式中增加g
1)一種是用
做為能量守衡方程,進行公式推導,此公式來源不明。根據伯努利原理和能量守衡定律有:
,在等高(Z2-Z1=0)情況下,
,以此公式為基礎,在孔板流量計公式推導過程中不會出現g。
2)另一種是k=60.677ad2突然變成k=60.677
=189.95ad2,而Q=kb
中△p的單位仍然還是Pa,公式中突然增加
沒有道理。
3.5 濫用克拉珀龍方程
在實際應用中,常常會出現:不管用得是哪個公式,計算出Q后,再用克拉珀龍方程
求標準狀態量或常溫狀態量,使最終數值很不準確很不可靠。造成這種情況的主要原因是,公式中沒有標明所計算出的流量是什么狀態下的量,使用人員弄不清公式是否已經把工況狀態下的量折算成常溫狀態下的量。需要說明的是,用《采礦工程設計手冊》第八篇第七章第七節中的公式,計算出的流量是常溫狀態下的體積流量。
4 結論
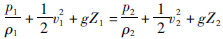
在應用孔板流量計測量計算瓦斯抽采時,正確的計算公式應為
公式相關參數也應恰當選擇,并選取正確的測量點位置。
上一篇:非滿管流量巴歇爾槽的設計與應用
下一篇:電接點水位計安裝使用注意事項
版權所有 Copyright(©)2009-2011 江蘇力科儀表有限公司
電話號碼:0517-86909222 商務熱線:15305232668 傳真:0517-86909221
地址:江蘇省金湖縣工業園
技術支持:易品網站建設專家 蘇ICP備13047422號-2